5 mathematical formulas which include pi (π) ~ The pi value in fraction is 227. Sin π 0 displaystyle sin pi 0 it follows that. Indeed lately has been searched by users around us, maybe one of you. Individuals are now accustomed to using the internet in gadgets to see video and image data for inspiration, and according to the title of this article I will discuss about 5 Mathematical Formulas Which Include Pi (π) Numerous other recently-discovered formulas that possess the arbitrary digit-computation property for various mathematical constants are catalogued in 3.
5 mathematical formulas which include pi (π) ~ π is not equal to the ratio of any two number which makes it an irrational number. Because pi is irrational not equal to the ratio of any two whole numbers its digits do not repeat and an approximation such as 314. Your 5 mathematical formulas which include pi (π) picture are ready. 5 mathematical formulas which include pi (π) are a topic that is being hunted for and liked by netizens today. You can Get or bookmark the 5 mathematical formulas which include pi (π) files here.

5 mathematical formulas which include pi (π) | Pin On Fun Facts
5 mathematical formulas which include pi (π) ~ Now that we know how to use the constant lets find out the volume of a sphere with radius r. Π is the 16th letter in the Greek alphabet and is used to represent a mathematical constant the ratio of a circles circumference to its diameter approximately equal to. Formulas with include pi. 10202018 Heres whats important.
2piradius or diamererpiSurface area of a sphere. In this program we use the formula for the volume of a sphere which is 43 π r3. 1282021 Pi in mathematics the ratio of the circumference of a circle to its diameter. Other formulae that have been used to compute estimates of π include.
American mathematicians John Wrench and Levi Smith. Piradius2Circumference of a circle. Pi is intimately related to the properties of circles and spheres. Formula 16 has been used in computations of high-order binary digits of ˇ2 and formula 18 has been used in computations of high-order base-3 digits of ˇ2 11.
Liu Hui see also Vites formula. There are many formulas of pi of many types. The formula solves for π in the equation sinpi6frac12. Therefore 227 is used for everyday calculations.
WolframAlpha gives the Maclaurin series for 6 arcsinx as. 5 mathematical formulas tha contain pi. In 1706a fruitful year for Pi Machin found this rapidly converging formula for its calculation. Value of pi is 314159.
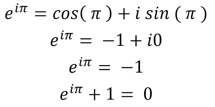
Displaystyle e ipi cos pi isin pi Since. 3132016 Eulers formula involves five fundamental constants. Piradius2 Circumference of a circle. Cos π 1 displaystyle cos pi -1 and.
In particular when x π e i π cos π i sin π. 4piradius2Volume of a sphere. Area of a circle. Pi π is the 16th letter of the Greek alphabet and is used to represent the most widely known mathematical constant.
The symbol π was devised by British mathematician William Jones in 1706 to represent the ratio and was later popularized by Swiss mathematician Leonhard Euler. Area of a circle. For a circle of radius r the circumference and area are given by C 2pir 1 A pir2. 5 mathematical formulas tha contain pi.
π4 4 x arctan 15 - arctan 1239. 6 arcsinx 6 x x3 frac9 x520 frac15 x756 frac35 x9192 dots. 0 1 i e and Pi and on adding equality addition and exponentiation combines them into a. It is known that pi is an irrational number which means that the digits after the decimal point are never-ending and being a non-terminating value.
2piradius or diamererpi Surface area of a sphere. Among others these include series products geometric constructions limits special values and pi iterations. Also in 1706 the Welshman William Jones became the first person to use the Greek letter π as an abbreviation for the periphery of a circle with. E i π 1 0 i displaystyle e ipi -10i which yields Eulers identity.
π a n b n 2 4 t n displaystyle scriptstyle pi approx frac a_ nb_ n 2 4t_ n The development of computers in the mid-20th century again revolutionized the hunt for digits of π.
If you are looking for 5 Mathematical Formulas Which Include Pi (π) you've reached the right place. We have 10 images about 5 mathematical formulas which include pi (π) including pictures, pictures, photos, backgrounds, and much more. In such web page, we additionally have variety of graphics available. Such as png, jpg, animated gifs, pic art, logo, blackandwhite, transparent, etc.
π a n b n 2 4 t n displaystyle scriptstyle pi approx frac a_ nb_ n 2 4t_ n The development of computers in the mid-20th century again revolutionized the hunt for digits of π. E i π 1 0 i displaystyle e ipi -10i which yields Eulers identity. Your 5 mathematical formulas which include pi (π) photographs are available. 5 mathematical formulas which include pi (π) are a topic that has been searched for and liked by netizens now. You can Download or bookmark the 5 mathematical formulas which include pi (π) files here.
Also in 1706 the Welshman William Jones became the first person to use the Greek letter π as an abbreviation for the periphery of a circle with. Among others these include series products geometric constructions limits special values and pi iterations. Your 5 mathematical formulas which include pi (π) pictures are available in this site. 5 mathematical formulas which include pi (π) are a topic that is being hunted for and liked by netizens today. You can Download or bookmark the 5 mathematical formulas which include pi (π) files here.
2piradius or diamererpi Surface area of a sphere. It is known that pi is an irrational number which means that the digits after the decimal point are never-ending and being a non-terminating value. Your 5 mathematical formulas which include pi (π) images are ready. 5 mathematical formulas which include pi (π) are a topic that has been searched for and liked by netizens today. You can Download or bookmark the 5 mathematical formulas which include pi (π) files here.
0 1 i e and Pi and on adding equality addition and exponentiation combines them into a. 6 arcsinx 6 x x3 frac9 x520 frac15 x756 frac35 x9192 dots. Your 5 mathematical formulas which include pi (π) photographs are ready in this website. 5 mathematical formulas which include pi (π) are a topic that is being hunted for and liked by netizens today. You can Find and Download or bookmark the 5 mathematical formulas which include pi (π) files here.
π4 4 x arctan 15 - arctan 1239. 5 mathematical formulas tha contain pi. Your 5 mathematical formulas which include pi (π) photos are available in this site. 5 mathematical formulas which include pi (π) are a topic that is being hunted for and liked by netizens today. You can Get or bookmark the 5 mathematical formulas which include pi (π) files here.
For a circle of radius r the circumference and area are given by C 2pir 1 A pir2. Area of a circle. Your 5 mathematical formulas which include pi (π) photos are ready. 5 mathematical formulas which include pi (π) are a topic that has been searched for and liked by netizens now. You can Find and Download or bookmark the 5 mathematical formulas which include pi (π) files here.
The symbol π was devised by British mathematician William Jones in 1706 to represent the ratio and was later popularized by Swiss mathematician Leonhard Euler. Pi π is the 16th letter of the Greek alphabet and is used to represent the most widely known mathematical constant. Your 5 mathematical formulas which include pi (π) image are available. 5 mathematical formulas which include pi (π) are a topic that has been hunted for and liked by netizens now. You can Download or bookmark the 5 mathematical formulas which include pi (π) files here.
Area of a circle. 4piradius2Volume of a sphere. Your 5 mathematical formulas which include pi (π) images are ready. 5 mathematical formulas which include pi (π) are a topic that has been searched for and liked by netizens now. You can Download or bookmark the 5 mathematical formulas which include pi (π) files here.
In particular when x π e i π cos π i sin π. Cos π 1 displaystyle cos pi -1 and. Your 5 mathematical formulas which include pi (π) pictures are ready. 5 mathematical formulas which include pi (π) are a topic that is being hunted for and liked by netizens today. You can Get or bookmark the 5 mathematical formulas which include pi (π) files here.
If the publishing of this internet site is beneficial to your suport by posting article posts of the site to social media accounts that you have got such as Facebook, Instagram among others or may also bookmark this website page together with the title How To Use P Product Notation A Brief Tutorial Mathadam Employ Ctrl + D for pc devices with Windows operating-system or Order + D for laptop or computer devices with operating system from Apple. If you use a smartphone, you can even utilize the drawer menu in the browser you use. Whether its a Windows, Apple pc, iOs or Google android operating-system, you'll be in a position to download images using the download button.










0 comments:
Post a Comment